Rendimiento de un score multiplicador del percentilo 99 de troponina para predecir eventos intrahospitalarios y mortalidad a 1 año de sindrome coronario agudo

pp. 26-32

Autores/as

  • Sol Kersten Consejo de Emergencias Cardiovasculares y Cardiología Crítica "Dr. Rafael Bullrich" de la Sociedad Argentina de Cardiología
  • Alan R. Sigal Consejo de Emergencias Cardiovasculares y Cardiología Crítica "Dr. Rafael Bullrich" . Sociedad Argentina de Cardiología https://orcid.org/0000-0002-2169-2101
  • Mirza Rivero Consejo de Emergencias Cardiovasculares y Cardiología Crítica "Dr. Rafael Bullrich" de la Sociedad Argentina de Cardiología https://orcid.org/0009-0007-1668-7221
  • Juan F. Furmento Consejo de Emergencias Cardiovasculares y Cardiología Crítica "Dr. Rafael Bullrich" . Sociedad Argentina de Cardiología https://orcid.org/0000-0002-6818-9634
  • Diego Conde Consejo de Emergencias Cardiovasculares y Cardiología Crítica "Dr. Rafael Bullrich" de la Sociedad Argentina de Cardiología https://orcid.org/0000-0001-6518-8823
  • Mayra Meza Consejo de Emergencias Cardiovasculares y Cardiología Crítica "Dr. Rafael Bullrich" de la Sociedad Argentina de Cardiología https://orcid.org/0000-0002-7949-7077
  • Ana Spaccavento Consejo de Emergencias Cardiovasculares y Cardiología Crítica "Dr. Rafael Bullrich" . Sociedad Argentina de Cardiología https://orcid.org/0009-0001-5624-160X
  • Gastón Procopio Consejo de Emergencias Cardiovasculares y Cardiología Crítica "Dr. Rafael Bullrich" . Sociedad Argentina de Cardiología https://orcid.org/0009-0003-1017-7563
  • Juan Pablo Costabel Consejo de Emergencias Cardiovasculares y Cardiología Crítica “Dr. Rafael Bullriche" de la Sociedad Argentina de Cardiología https://orcid.org/0000-0003-0073-5739

DOI:

https://doi.org/10.7775/rac.es.v93.i1.20852

Palabras clave:

Troponina, Score, Mortalidad, Sindrome coronario agudo

Resumen

Introducción: En Argentina, la troponina de alta sensibilidad es ampliamente utilizada para evaluar pacientes con dolor torácico. Sin embargo, la variabilidad entre ensayos (troponina I o T) y sus diferentes puntos de corte y percentilos puede
dificultar su interpretación uniforme.

Objetivo: Este estudio evaluó el desempeño de un score multiplicador basado en el percentilo 99 de troponina para predecir mortalidad intrahospitalaria y al año, así como eventos isquémicos y hemorrágicos en pacientes con síndrome coronario agudo (SCA).

Material y métodos: Se utilizó el registro ReSCAR, un estudio multicéntrico prospectivo que incluyó pacientes con SCA. Se analizaron 917 casos: 291 con troponina I y 626 con troponina T. El score multiplicador se calculó como la relación entre el dosaje de troponina y el percentilo 99 del ensayo correspondiente. Se evaluó el área bajo la curva ROC (ABC ROC) del score para predecir eventos isquémicos y hemorrágicos intrahospitalarios, al igual que para mortalidad intrahospitalaria y al año de seguimiento.

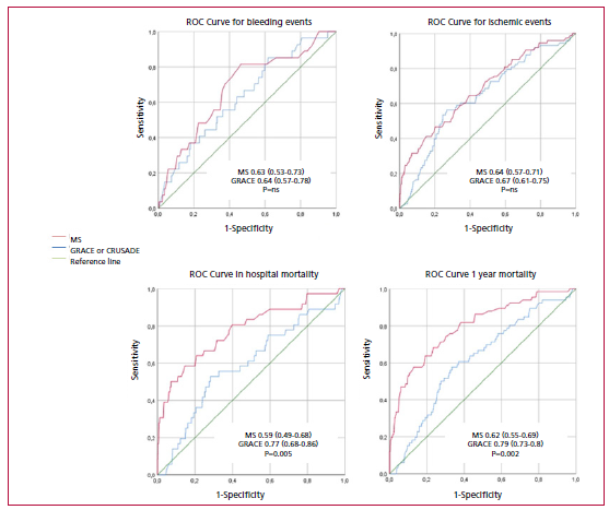
Resultados: La mortalidad hospitalaria fue 3,9% y al año 7,2%. Los eventos isquémicos intrahospitalarios ocurrieron en el 8,2% y los eventos hemorrágicos en 2,9% de los pacientes. La mediana del score fue 5,4 (rango intercuartílico 1,2-48,2). El ABC ROC del score para predecir eventos isquémicos fue 0,64, sin diferencias significativas con el score GRACE (0,67). Para eventos hemorrágicos, el score mostró un ABC ROC de 0,63, comparable a la del score CRUSADE (0,64). La capacidad discriminativa del score para mortalidad intrahospitalaria y al año fue menor que GRACE (0,59 vs. 0,77 y 0,62 vs. 0,79, p <0,01 para ambos casos).

Conclusiones: El score multiplicador basado en el percentilo 99 de troponina es una herramienta simple y potencialmente útil para estandarizar la evaluación del riesgo en diferentes centros con distintos laboratorios. Aunque su desempeño es comparable al de GRACE y CRUSADE para eventos isquémicos y hemorrágicos intrahospitalarios, mostró menor precisión para predecir mortalidad.

 

 

Publicado

19-03-2025

Número

Sección

ARTÍCULOS ORIGINALES

Artículos más leídos del mismo autor/a

1 2 3 4 > >>