Valor pronóstico del tamaño del infarto de miocardio cuantificado mediante SPECT gatillada
pp. 543-548
DOI:
https://doi.org/10.7775/rac.v83.i6.7130Palabras clave:
Infarto del miocardio/fisiopatología, Tomografía computarizada por emisión de fotón único sincronizada cardíaca, PronósticoResumen
Introducción: Si bien la SPECT de perfusión miocárdica ha mejorado la sensibilidad y la especificidad en la detección del compromiso miocárdico luego de un infarto agudo de miocardio (IAM), aún es escasa la información sobre la determinación precoz del tamaño del infarto (TI) con este método para la estratificación del riesgo y su valor pronóstico.
Objetivos: Evaluar la utilidad de la cuantificación del TI estimado por SPECT gatillada en la predicción de complicaciones cardiovasculares en pacientes con un primer IAM.
Material y métodos: Se analizaron los pacientes con IAM con elevación del ST desde 2009 a 2014, excluyéndose aquellos con IAM previo. El cálculo del TI se realizó con el softwareCedars QPS. Se evaluaron eventos al año: insuficiencia cardíaca, arritmias ventriculares, muerte y la combinación de los tres eventos.
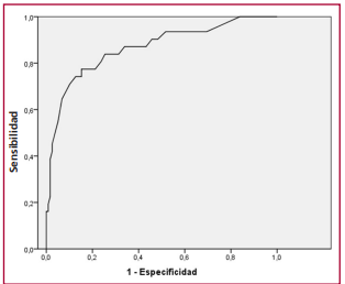
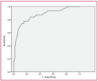
Resultados: Se incluyeron 149 pacientes, con edad media de 59±11 años,el 81,9% de sexo masculino. El 16,1% eran diabéticos y el 9,4% presentaban revascularización previa. El 84,6% ingresaron en Killip y Kimball A, el 43% de los IAM fueron de territorio anterior y el 69,8% de los pacientes fueron reperfundidos. La fracción de eyección del ventrículo izquierdo por SPECT gatillada fue del 51% ±14%. Se realizó seguimiento clínico en el 95,9% de los casos. El punto de corte del TI (curva ROC) para predecir eventos combinados al seguimiento se estableció en 22% (sensibilidad: 92%, especificidad: 81%, ABC: 0,94),con el cual la muestra se dividió
en dos grupos: Grupo I (TI<22%) y Grupo II (TI≥22%). La prevalencia de eventos combinados fue mayor en el Grupo II (2,1% Grupo Ivs. 50% Grupo II; p<0,001). El TI ≥22% se identificó como la única variable predictora de eventos al seguimiento (OR 1,978; IC 95% 1,887-1,996; p<0,001).
Conclusión: La cuantificación precoz del TI mediante SPECT es un predictor independiente de riesgo al año que permite establecer una estratificación del riesgo en pacientes con un primer IAM.
Descargas
Publicado
Número
Sección
Licencia
Derechos de autor 2025 Revista Argentina de Cardiología

Esta obra está bajo una licencia internacional Creative Commons Atribución-NoComercial-CompartirIgual 4.0.








