Comparación de resultados inmediatos y a mediano plazo de la anastomosis de Blalock-Taussig versus la colocación de stent en tracto de salida de ventrículo derecho en neonatos sintomáticos con tetralogía de Fallot
pp. 25-30
DOI:
https://doi.org/10.7775/rac.es.v90.i1.20474Palabras clave:
Tetralogía de Fallot - Procedimiento de Blalock-Taussing - Anastomosis Quirúrgica - Cardiopatías CongénitasResumen
Introducción: El manejo inicial de neonatos con tetralogía de Fallot (TF), con síntomas asociados a una anatomía desfavorable
y un flujo vascular pulmonar significativamente reducido es controversial, y un desafío clínico.
Objetivo: Describir la evolución clínica y comparar el crecimiento de ramas pulmonares en neonatos con TF sintomáticos
ingresados al Departamento de Cardiología del Hospital de Niños de Córdoba, desde marzo de 2011 hasta marzo de 2021, que
recibieron anastomosis de Blalock-Taussig modificada (aBTm) versus colocación de stent en tracto de salida de ventrículo
derecho (sTSVD).
Material y métodos: Estudio retrospectivo, observacional. Se identificaron 113 pacientes con TF; 20 de ellos (18%) fueron
neonatos sintomáticos y requirieron paliación inicial. Las variables categóricas se expresan como porcentaje; las continuas
como mediana y rango intercuartilo (RIC). Un valor de p <0,05 se consideró significativo.
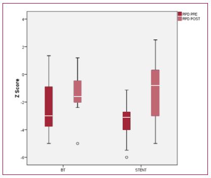
Resultados: De los 20 pacientes incluidos en el estudio, 11 (55%) constituyen el grupo aBTm y 9 (45%) el grupo sTSVD. En
el grupo aBTm la rama pulmonar derecha (RPD) pre paliación tenía un score Z -3 (RIC 4,20), que aumentó a -1,6 (RIC 1,56)
(p = 0,11) post intervención; y la rama pulmonar izquierda (RPI) un score Z -2,5 (RIC 4,8) que se incrementó a -1,80 (RIC
2,36) (p = 0,44). En el grupo sTSVD la RPD pre paliación tuvo un score Z -3,45 (RIC 3,83) que aumentó a - 2,5 (RIC 3,58)
(p = 0,021) y la RPI un score Z -4,10 (RIC 2,51) que se incrementó a -2,00 (RIC 3,75) (p = 0,011). La saturación de O2 (SO2)
pre intervención fue 75% (RIC 6), y aumentó a 87% (RIC 9) en el grupo aBTm (p = 0,005); e inicialmente fue 75% (RIC 16) y
aumentó a 91% (RIC 13) en el grupo sTSVD (p = 0,008). La mediana de estadía hospitalaria post procedimiento fue 10 días
(RIC 11) en el grupo aBTm, y 6 (RIC 2) en el grupo sTSVD (p= 0,095).
Conclusiones: En neonatos con TF sintomáticos, ambas estrategias paliativas mejoran la condición clínica. En los que recibieron
sTSVD, se objetivó un crecimiento mayor de las ramas pulmonares. Mayor número de casos y seguimiento más largo
serán necesarios para confirmar estos hallazgos.
Cómo citar este artículo:
Rocchia F, Allub A, Guevara AA, De Anquín L, Juaneda I, Contreras A, y cols. Comparación de resultados inmediatos y a mediano plazo de la anastomosis de Blalock-Taussig versus la colocación de stent en tracto de salida de ventrículo derecho en neonatos sintomáticos con tetralogía de Fallot.. Rev Argent Cardiol 2022;90:25-30. http://dx.doi.org/10.7775/rac.es.v90.i1.20474







